Phase 0 Model: Steady State Single Physics
Contact: Mustafa Jaradat, [email protected]
Model summarized and documented by Dr. Khaldoon Al-Dawood
This exercise is comprised of three steady state single physics steps. The inputs provided in this step will be gradually improved as the complexity of the steps will improve. In the following is a description of each step of Phase 0 in addition to explanation of the input files.
Step 0.1:
The purpose of this exercise is to calculate the steady state velocity field given a fixed lid velocity of 5 m/s. This problem is solved using pronghorn software which uses the Navier-Stokes module in MOOSE. The conservation of mass principle is expressed as
where is the velocity vector.
The conservation of momentum is expressed as
where is pressure, is the viscosity, is the gravity vector, is the temperature, and is the thermal expansion coefficient.
Finally, the conservation of energy is expressed as
The model starts by defining some fluid properties as follows
alpha = 2.0e-4
rho = 2.0e+3
cp = 3.075e+3
k = 1.0e-3
mu = 5.0e+1
The mesh used in solving the problem is described in the pronghorn input file as follows
[Mesh]
type = MeshGeneratorMesh
block_id = '1'
block_name = 'cavity'
[cartesian_mesh]
type = CartesianMeshGenerator
dim = 2
dx = '1.0 1.0'
ix = '100 100'
dy = '1.0 1.0'
iy = '100 100'
subdomain_id = ' 1 1
1 1'
[]
[]
(msr/cnrs/s01/cnrs_s01_ns_flow.i)The modeling of the momentum and energy equation and the setup are presented to the NavierStokesFV block as follows The instructions of the modeling of the flow characteristics and conservation equations is done with the Modules
block and
NavierStokesFV
sub-block, specifically. Following is a description of the
Physics
block used in the modeling in this step of Phase 0.
[Physics]
[NavierStokes]
[Flow]
[flow]
compressibility = 'incompressible'
density = ${rho}
dynamic_viscosity = 'mu'
# Boussinesq parameters
boussinesq_approximation = true
gravity = '0 -9.81 0'
thermal_expansion = ${alpha}
ref_temperature = 900
# Initial conditions
initial_velocity = '0.5 0 0'
initial_pressure = 1e5
# Boundary conditions
inlet_boundaries = 'top'
momentum_inlet_types = 'fixed-velocity'
momentum_inlet_functors = '0.5 0'
wall_boundaries = 'left right bottom'
momentum_wall_types = 'noslip noslip noslip'
pin_pressure = true
pinned_pressure_type = average
pinned_pressure_value = 1e5
# Numerical Scheme
momentum_advection_interpolation = 'upwind'
mass_advection_interpolation = 'upwind'
[]
[]
[FluidHeatTransfer]
[energy]
initial_temperature = 900
thermal_conductivity = 'k'
specific_heat = 'cp'
# Boundary conditions
energy_inlet_types = 'fixed-temperature'
energy_inlet_functors = 900
energy_wall_types = 'heatflux heatflux heatflux'
energy_wall_functors = '0 0 0'
# Numerical Scheme
energy_advection_interpolation = 'upwind'
energy_two_term_bc_expansion = true
energy_scaling = 1e-3
[]
[]
[]
[]
(msr/cnrs/s01/cnrs_s01_ns_flow.i)This block defines lots of characteristics of the fluid modeling including the utilization of energy equation, boundary conditions, numerical scheme, and so on.
Fluid properties to support the modeling process can be defined in the Material
block. As in the following, the
Materials
block uses defined material properties provided in the beginning of the input file as described above.
[FunctorMaterials]
[functor_constants]
type = ADGenericFunctorMaterial
prop_names = 'k rho mu'
prop_values = '${k} ${rho} ${mu}'
[]
[cp]
type = ADGenericFunctorMaterial
# prop_names = 'cp dcp_dt'
# prop_values = '${cp} 0'
prop_names = 'cp'
prop_values = '${cp}'
[]
[]
(msr/cnrs/s01/cnrs_s01_ns_flow.i)The problem is solved as a transient that is allowed to converge by selecting a long time for the simulation in addition to setting up a tolerance for the detection of achieving the steady state. These characteristics of the simulation in addition to others such as the solver type are identified in the Executioner
block of the input file as follows.
[Executioner]
type = Transient
start_time = 0.0
end_time = 10000
[TimeStepper]
type = IterationAdaptiveDT
dt = 0.1 # chosen to obtain convergence with first coupled iteration
growth_factor = 2
[]
steady_state_detection = true
steady_state_tolerance = 1e-8
steady_state_start_time = 10
solve_type = 'NEWTON'
petsc_options_iname = '-pc_type -pc_factor_shift_type -pc_factor_mat_solver_package'
petsc_options_value = 'lu NONZERO superlu_dist'
line_search = 'none'
nl_rel_tol = 1e-7
nl_abs_tol = 2e-7
nl_max_its = 200
l_max_its = 200
automatic_scaling = true
[]
(msr/cnrs/s01/cnrs_s01_ns_flow.i)Step 0.1 Results
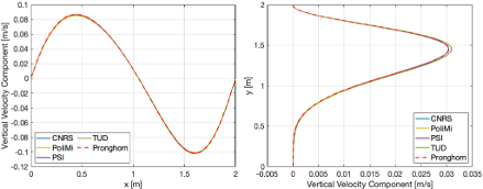
The results for the first step of phase 0 are composed of the velocity field in addition to a mesh refinement study to demonstrate the influence of the refinement on the vertical components of the velocity. The results are collected across the horizontal AA` line and the vertical BB` line from the problem description. The horizontal velocity component distribution along AA` and BB` are presented in Figure 1.

Figure 1:
The vertical velocity component distribution along AA` and BB` presented in Figure 2

Figure 2:
The vertical velocity component distribution along BB` as the mesh is refined is presented in Figure 3.

Figure 3:
Step 0.2:
This exercise models a steady state neutronic solution using Griffin. The problem geometry remains the same as step 0.1. The mesh is defined in a similar fashion to the earlier presentation and it is presented in this subsection for completeness.
[Mesh]
type = MeshGeneratorMesh
block_id = '1'
block_name = 'cavity'
[cartesian_mesh]
type = CartesianMeshGenerator
dim = 2
dx = '1.0 1.0'
ix = '100 100'
dy = '1.0 1.0'
iy = '100 100'
subdomain_id = ' 1 1
1 1'
[]
[assign_material_id]
type = SubdomainExtraElementIDGenerator
input = cartesian_mesh
extra_element_id_names = 'material_id'
subdomains = '1'
extra_element_ids = '1'
[]
[]
(msr/cnrs/s02/cnrs_s02_griffin_neutronics.i)The input uses the fuel temperature to adjust the fuel density according to the expression
Although this adjustment of density is not useful in this step, it will be useful in the next step of the benchmark where the obtained temperature distribution is used to adjust the fuel salt density.
An eigenvalue solution of the multigroup neutron diffusion equation is performed with six energy groups. These characteristics and others including problem boundary conditions are defined in the TransportSystems
block as follows
[TransportSystems]
particle = neutron
equation_type = eigenvalue
G = 6
VacuumBoundary = 'left bottom right top'
[diff]
scheme = CFEM-Diffusion
n_delay_groups = 8
family = LAGRANGE
order = FIRST
assemble_scattering_jacobian = true
assemble_fission_jacobian = true
[]
[]
(msr/cnrs/s02/cnrs_s02_griffin_neutronics.i)Finally, the Executioner
block is defined as follows.
[Executioner]
type = Eigenvalue
solve_type = PJFNKMO
petsc_options_iname = '-pc_type -pc_factor_shift_type -pc_factor_mat_solver_package'
petsc_options_value = 'lu NONZERO superlu_dist'
free_power_iterations = 2
line_search = none #l2
l_max_its = 200
l_tol = 1e-3
nl_max_its = 200
nl_rel_tol = 1e-6
nl_abs_tol = 1e-8
[]
(msr/cnrs/s02/cnrs_s02_griffin_neutronics.i)Step 02 Results:
The results for this step include observing the fission rate density distribution and examining the influence of mesh refinement. Due to the length of the results, this documentation will only show the fission rate distribution along AA` which is presented in Figure 4.

Figure 4:
For results on the mesh refinement, the reader is referred to the publication (Jaradat et al., 2024).
Step 0.3
In this exercise, the temperature field is obtained based on the velocity field and the power density profile. Thus, to solve this exercise, the solutions of steps 0.1 and 0.2 need to be obtained and provided in order to perform this step of the benchmark. Following is a description of the setup for this exercise input.
This requires a Navier-Stokes solve to obtain the velocity field and a neutronic solve to obtain the power density distribution. The main input in this step performs the linking between the neutronic solve and the Navier-Stokes solve. The main file defines a set of variables as follows
[AuxVariables]
[U]
order = CONSTANT
family = MONOMIAL
fv = true
[AuxKernel]
type = VectorMagnitudeAux
x = vel_x
y = vel_y
[]
[]
[power_density]
type = MooseVariableFVReal
[]
[]
(msr/cnrs/s03/cnrs_s03_ns_flow.i)These variables will be read from the solutions of step 0.1 and step 0.2. Auxiliary variables that are imported from the solutions of 0.1 and 0.2 are also defined as
[AuxVariables]
[U]
order = CONSTANT
family = MONOMIAL
fv = true
[AuxKernel]
type = VectorMagnitudeAux
x = vel_x
y = vel_y
[]
[]
[power_density]
type = MooseVariableFVReal
[]
[]
(msr/cnrs/s03/cnrs_s03_ns_flow.i)The boundary conditions are also defined in the Physics
syntax as
# Boundary conditions
wall_boundaries = 'left right bottom top'
momentum_wall_types = 'noslip noslip noslip noslip'
momentum_wall_functors = '0 0; 0 0; 0 0; lid_function 0'
(msr/cnrs/s03/cnrs_s03_ns_flow.i)To obtain the solution of the previous two steps to be implemented in the solution of this step, a MultiApps
block is used to identify the inputs as follows
[MultiApps]
[ns_flow]
type = FullSolveMultiApp
input_files = cnrs_s01_ns_flow.i
cli_args = "Outputs/exodus=false;Outputs/active=''"
execute_on = 'initial'
[]
[griffin_neut]
type = FullSolveMultiApp
input_files = cnrs_s02_griffin_neutronics.i
cli_args = "PowerDensity/family=MONOMIAL;PowerDensity/order=CONSTANT"
execute_on = 'timestep_end'
[]
[]
(msr/cnrs/s03/cnrs_s03_ns_flow.i)where cnrs_s01_ns_flow.i
is the input of step 0.1, and
cnrs_s02_griffin_neutronics.i
is the input for step 0.2. The requested variables transfer between the three inputs for steps 0.1, 0.2, and 0.3 is defined in the
Transfers
block as follows
[Transfers]
# Initialization
[x_vel]
type = MultiAppCopyTransfer
from_multi_app = ns_flow
source_variable = 'vel_x'
variable = 'vel_x'
execute_on = 'initial'
[]
[y_vel]
type = MultiAppCopyTransfer
from_multi_app = ns_flow
source_variable = 'vel_y'
variable = 'vel_y'
execute_on = 'initial'
[]
[pres]
type = MultiAppCopyTransfer
from_multi_app = ns_flow
source_variable = 'pressure'
variable = 'pressure'
execute_on = 'initial'
[]
# Multiphysics coupling
[power_dens]
type = MultiAppCopyTransfer
from_multi_app = griffin_neut
source_variable = 'power_density'
variable = 'power_density'
execute_on = 'timestep_end'
[]
[temp]
type = MultiAppCopyTransfer
to_multi_app = griffin_neut
source_variable = 'T_fluid'
variable = 'tfuel'
execute_on = 'timestep_end'
[]
[]
(msr/cnrs/s03/cnrs_s03_ns_flow.i)notice that the Navier-Stokes solve is expected to provide the velocity field. The neutronic solve is expected to provide the power density distribution. Note that the fuel temperature is used to adjust the density but it is not used to update the cross section.
Finally, characteristics of executing the problem are defined in the Executioner
block as follows
[Executioner]
# Solving the steady-state versions of these equations
type = Steady
solve_type = 'NEWTON'
petsc_options_iname = '-pc_type -pc_factor_shift_type -pc_factor_mat_solver_package'
petsc_options_value = 'lu NONZERO superlu_dist'
nl_rel_tol = 1e-12
nl_abs_tol = 1.5e-8
nl_forced_its = 2
automatic_scaling = true
# MultiApps fixed point iteration parameters
fixed_point_min_its = 2
fixed_point_max_its = 50
fixed_point_rel_tol = 1e-5
fixed_point_abs_tol = 1e-5
[]
(msr/cnrs/s03/cnrs_s03_ns_flow.i)Step 03 Results
The fuel salt temperature distribution along AA` and BB` are in Figure 5

Figure 5:
References
- Mustafa K Jaradat, Namjae Choi, and Abdalla Abou-Jaoude.
Verification of griffin-pronghorn-coupled multiphysics code system against cnrs molten salt reactor benchmark.
Nuclear Science and Engineering, pages 1–34, 2024.[BibTeX]